Меню

Свердловской области пообещали социальный бюджет

Областные власти объявили об увеличении расходов на здравоохранение и образование в 2014 г. Между тем, оппозиционные депутаты отмечают, что рост казенных трат происходит вовсе не за счет «социалки».

«Расходы на выполнение регионом социальных обязательств перед своими гражданами  предусмотрены в полном объеме  в областном бюджете как текущего, так и следующего года,  - сообщает пресс-служба свердловского правительства. - Более того, несмотря на умеренный прогноз по расходам, финансисты отмечают тенденцию к увеличению «социального финансирования» в нашем регионе».

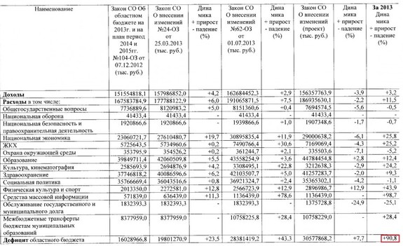
По информации областного минфина, при корректировке областного бюджета на текущий год расходы на образование увеличились на 101 млн 540,4 тысячи рублей. На 2014 год по данной статье предусмотрены расходы в объеме 45 млрд 284,9 млн рублей: это на 13,6 % больше, чем было изначально предусмотрено на 2013 год. Кроме того, в проекте бюджета на следующий год предусмотрены 38,8 млрд рублей на социальную политику. Это 20 % от общей суммы расходов.

Областное правительство сообщает о сохранении социальных гарантий на здравоохранение в текущем году, на следующий год планируется потратить в этом направлении 39,5 млрд рублей. Это превышает объема 2013 года на 2,7 млрд рублей.

«Расходы регионального бюджета должны быть понятны, прозрачны, социально ориентированы и направлены на развитие региона», - заявил свердловский премьер Денис Паслер.

 Между тем, как отмечает депутат свердловского законодательного собрания Георгий Перский, доходы областного бюджета по принятым и проектным позициям приросли всего на 3,2%, а расходы увеличились на 11,5%, причем рост произошел не за счет социального направления.

«Более чем на 1/4 увеличились расходы на экономику, ЖКХ, культуру и кинематографию, физическую культуру и спорт. Несомненно, дело это благое, - пишет в своем «живом журнале» Георгий Перский. - Однако возникает вопрос – почему в реалии не соблюдена провозглашенная в бюджетном послании губернатора Евгения Куйвашева 75% социальная направленность бюджета?»

Как отмечает депутат, лишь 72% от совокупной суммы расходов пошли на нужды жителя области. Самые низкие темпы в течение годы продемонстрировали траты на образование, также невысокой была динамика в здравоохранении: с начала года прирост составил всего 9 %. Тем временем, расходы на национальную экономику и ЖКХ увеличились на 25%.

«Несомненно, важна поддержка региональной экономики в посткризисный период, - считает Георгий Перский. - Да, это рост валового регионального продукта и рабочие места. Но в большей степени, это задача не прямого бюджетного финансирования, а содействие инвестиционной активности бизнеса. Тем более что из 23 млрд рублей бюджетных денег потраченных на экономику 3,4 млрд рублей приходится на решение других вопросов в области экономики. Таких, как руководство и управление, содержание аппарата, реализацию госполитики приватизации».